Red Herring Roe 78 g
Jesień i zima to okres, kiedy najczęściej kupujemy śledzie. Czy przy ich wyborze wystarczy kierować się smakiem, jakością, ceną? A może raczej powinniśmy zwracać uwagę na to, skąd pochodzą, jak zostały złowione oraz czy ich populacja jest stabilna? Warto zastanowić się, jak nasze wybory wpływają na stan zasobów śledzi oraz całe ekosystemy morskie. PrzeŚLEDŹ temat razem z nami – aby śledzi nie zabrakło dziś i w przyszłości!
Przez wiele lat na polskim rynku konsumenci bez problemu mogli kupować produkty śledziowe pochodzące ze zrównoważonych połowów, oznaczone niebieskim certyfikatem MSC, gwarantującym, że pochodzą one ze stabilnych i dobrze zarządzanych łowisk.
Jednak wskutek zmian środowiskowych oraz braku odpowiednich działań politycznych dynamicznie zmienia się sytuacja tego gatunku, a na przestrzeni ostatnich 4 lat ważne dla polskich przetwórców i konsumentów rybołówstwa śledzi utraciły certyfikaty MSC.
Jak na te zmiany reagują polscy przetwórcy i detaliści? Czy podejmują niezbędne kroki, by dalej oferować konsumentom produkty pochodzące ze zrównoważonych połowów?
Co oznacza niebieski znak MSC?
Gdzie kupisz śledzie ze znakiem MSC?
Obecnie w polskich sklepach dostępnych jest ponad 50 różnych produktów śledziowych z certyfikatem MSC. Zdecydowanym liderem jest sieć handlowa Lidl, oferująca w swoich markach własnych kilkanaście certyfikowanych produktów ze śledzia.
Sprawdź, jakie produkty śledziowe ze znakiem MSC znajdziesz w polskich sklepach!
Wybierz sklep lub markę powyżej, aby zobaczyć produkty.
Black Herring Roe 78 g
Filety śledziowe smażone w zalewie octowej 800 g
Filety śledziowe a'la Matias solone w zalewie 800 g
Smażone Filety Śledziowe w aromatycznej marynacie 325 g
Filety Śledziowe w kremie pomidorowym 200 g
Heringsfilets 200 g (różne smaki)
- Gourmetplatte
- in Tomaten-Creme
- in Curry-Ananas-Creme
- in Paprika-Creme
- in Pfeffer-Creme
- in würziger Senf-Dijon-Creme
Sałatka śledziowa 150 g
Sałatka śledziowa z papryką 150 g
Filety śledziowe w oleju roślinnym 170 g
Dzika ryba filety ze śledzia w sosie pomidorowym 170 g
Filet z matjesa 250 g
Śledź marynowany w musztardzie 250 g
Śledź marynowany z koprem 250 g
Płaty śledziowe smażone z cebulą w zalewie octowej 800 g
Bismarck Płaty śledziowe z cebulą w zalewie octowej 700 g
Rollmopsy w zalewie octowej 700 g
Sałatka śledziowa z papryką 250 g
Smażone płaty śledziowe w zalewie octowej 800 g
Wiejskie Filety śledziowe w zalewie z cebulą olejem 600 g
A'La Matjas filety śledziowe w oleju rzepakowym 250 g
Śledzie krojone w sosie 300 g (różne smaki)
- w sosie koperkowym
- w sosie musztardowym
- w sosie śmietanowym
A'La Matjas Filety Śledziowe w Zalewie Solankowej 1,2 kg
Mini śledziki w sosie 110 g (różne smaki)
- w sosie śmietanowym
- w sosie musztardowym
- w sosie koperkowym
Filety śledziowe wiejskie 200 g
Wiejskie Filety śledziowe w zalewie z cebulą olejem 900 g
Krajanka śledziowa 180 g (różne smaki)
- z suszonymi pomidorami
- z żurawiną i brzoskwinią
- z kolorowym pieprzem
Filety śledziowe po kaszubsku 200 g
Filety śledziowe w sosie pomidorowym 170 g
Filety śledziowe w oleju roślinnym 170 g
Fried Herring Fillets Marinated 325 g
Ryba po grecku 500 g
Filety śledziowe w sosie pomidorowym 170 g
Filety śledziowe w oleju 170 g
Matiasy Holenderskie 130 g
Śledź z czarnuszką 200 g
Śledź z kolendrą i kardamonem 200 g
Filety śledziowe w sosie 300 g (różne smaki)
- w sosie śmietanowym
- w sosie koperkowym
- w sosie musztardowym
Matiasy Holenderskie MSC 600 g
Czas na gotowanie!
Śledź to jedna z najbardziej popularnych ryb morskich kojarzonych z polską kulturą kulinarną. Nieprzerwanie króluje na naszych stołach w okresie świąt Bożego Narodzenia, karnawału, Ostatków czy Wielkiego Postu.
Śledzie znane są w Europie od ponad 1000 lat. Już w czasach średniowiecznych, kiedy to w bardzo wówczas religijnej, chrześcijańskiej Europie post obejmował ponad 200 dni w roku, a przejadanie się było ciężkim grzechem, jednym z niewielu dozwolonych pokarmów były właśnie śledzie, które na dodatek można było długo przechowywać w soli. Z tego też powodu wszyscy, od królów po najbiedniejszą część społeczeństwa, objadali się właśnie tymi rybami. Śledzie stały się nie tylko symbolem postu, ale także jednym z ważniejszych produktów handlowych i żywnościowych w naszej części świata. Obecnie wciąż pozostają jedną z najchętniej konsumowanych ryb na polskim rynku.

Do 2000 r. statystyczny Polak jadł nawet ponad 3 kg śledzi w ciągu roku, jednak wartość ta pod koniec 2013 r. znacząco spadła i wyniosła 1,94 kg na osobę (dane Instytutu Ekonomiki Rolnictwa i Gospodarki Żywnościowej w kg masy żywej/osobę). Wielu sceptyków ogłaszało koniec popularności śledzia jako produktu z zamierzchłej przeszłości.
Jednak kolejne lata to odwrócenie tego trendu: w 2020 roku konsumpcja śledzi w Polsce osiągnęła wielkość 2,73 kg na osobę. Z kolei w roku 2022 konsumpcja śledzi ponownie spadła do wartości 1,78 kg, by w 2023 r. wzrosnąć do 2,76 kg na osobę rocznie.
W wartościach bezwzględnych oznacza to ok. 100 tys. ton śledzi rocznie i pierwsze miejsce spośród najczęściej spożywanych gatunków w Polsce.
W latach 2014–2020 intensywnie rozwijał się rynek produktów śledziowych z certyfikatem MSC, gwarantującym, że ryby pochodzą ze zrównoważonych, stabilnych łowisk, a ich połowy mają minimalny wpływ na środowisko. Szacowany udział produktów MSC w ogólnej liczbie produktów śledziowych dostępnych na polskim rynku wzrósł z 1,5 % w 2014 r. do 9–10% w 2020 r., przy wzroście wolumenu aż o 162% w latach 2017-2020.
Niestety w związku z pogarszającą się kondycją wielu stad śledzi oraz brakiem odpowiednich działań politycznych, obecnie notujemy spadek liczby certyfikowanych produktów, a jeśli szybko nie zostaną podjęte zdecydowane działania, już wkrótce możemy się spodziewać całkowitego braku śledzi ze zrównoważonych połowów na półkach w polskich sklepach.
Śledź oczami konsumentów
90%
Polaków deklaruje, że jada śledzie
1 na 10
jada je regularnie, przynajmniej raz w tygodniu
54%
75%
W przeszłości śledzia w morzach było pod dostatkiem – w Północnym Atlantyku od wód islandzkich, grenlandzkich, Zatoki Biskajskiej, przez Bałtyk, aż po Nową Ziemię i Spitsbergen. Jego zasoby były bardzo eksploatowane, aż w latach 60-tych ubiegłego wieku zauważono pierwsze objawy przełowienia. Ze względu na duże znaczenie gospodarcze śledzia, zaczęto wdrażać zasady zrównoważonych połowów, a populacje śledzia zaczęły się powoli odradzać. Wiele łowisk śledzia atlantyckiego uzyskało certyfikację MSC.
Ale co to tak naprawdę znaczy?
Standard Zrównoważonego Rybołówstwa MSC służy do oceny rybołówstw pod kątem ich wpływu na dzikie populacje ryb, oddziaływania na ekosystem morski oraz sposobu zarządzania. Standard odzwierciedla najnowsze osiągnięcia naukowe w dziedzinie rybołówstwa oraz najlepsze międzynarodowe praktyki w zakresie zarządzania połowami. Standard MSC został opracowany w konsultacji z szerokim gronem ekspertów: rybaków, naukowców, przedstawicieli przemysłu rybnego oraz organizacji ochrony przyrody.
Rybołówstwa, które z sukcesem przejdą proces certyfikacji pod kątem Standardu Zrównoważonego Rybołówstwa MSC, mogą sprzedawać złowione ryby lub owoce morza z niebieskim certyfikatem MSC. Certyfikat MSC jest przyznawany na 5 lat, a certyfikowane rybołówstwa podlegają corocznym audytom kontrolnym. Niezależni audytorzy mogą również dokonywać niezapowiedzianych audytów lub przeprowadzać je częściej, jeżeli zaistnieje taka potrzeba. Wiele rybołówstw otrzymuje tzw. certyfikat warunkowy — aby go utrzymać, rybacy muszą wprowadzić w określonym terminie odpowiednie zmiany, a postępy są monitorowane podczas audytów. Niedopełnienie warunków może spowodować zawieszenie certyfikatu MSC.
MSC stara się jak najszerzej informować o każdym procesie certyfikacji oraz aktualnym statusie danego rybołówstwa. W tym celu funkcjonuje strona fisheries.msc.org, na której publikowane są wszelkie raporty i dokumenty.

Śledzie wykorzystywane przez polskich przetwórców to przede wszystkim śledź bałtycki, śledź atlantycko-skandynawski oraz śledź z Morza Północnego. W ostatnich latach doszło do dynamicznych zmian w poszczególnych stadach. Zarówno śledź bałtycki jak i norweski notuje duże spadki biomasy, przy jednocześnie zbyt dużej presji połowowej. W obu przypadkach doprowadziło to do zawieszenia certyfikatów MSC dla rybołówstw poławiających te stada. Jednocześnie rosną kwoty połowowe dla śledzia islandzkiego i śledzia z Morza Północnego, dając producentom większą możliwość wyboru śledzia ze zrównoważonych połowów.
W tym momencie (listopad 2025 r.) w Programie MSC znajduje się 8 certyfikowanych rybołówstw śledzi o łącznym limicie połowowym blisko 290 tys. ton.
Śledź bałtycki
Śledzie ze stada centralnego, FAO 27 IIId, podobszary: 25–27, 28.2, 29, 32
Śledź centralnobałtycki (CBH) jest najważniejszym stadem śledzia w Morzu Bałtyckim. W latach 70. XX wieku jego połowy sięgały prawie 400 tys. ton rocznie, a w ostatnich latach wynosiły 100–200 tys. ton. Na rok 2025 ustalono TAC (całkowity dopuszczalny połów) na poziomie 84 tys. ton.
Presja połowowa i stan stada
Aktualna presja połowowa znajduje się poniżej poziomu FMSY, jednak biomasa stada tarłowego (SSB) spadła poniżej progu MSY Btrigger i waha się w pobliżu Blim, co oznacza konieczność odbudowy stada. Rekrutacja w ostatnich latach ustabilizowała się na niskim poziomie, jednak szacunki z 2023 i 2024 r. są obarczone dużą niepewnością, która wpływa na prognozy połowów na 2025 r. i wielkość SSB w 2026 r.
Czynniki wpływające na ocenę zasobów
Stado CBH jest poławiane razem ze stadem śledzia z Zatoki Ryskiej, co dodatkowo utrudnia jego ocenę. Od lat utrzymuje się również problem błędnego raportowania połowów śledzia i szprota – mimo częściowego uwzględnienia tego zjawiska w analizach, nadal zwiększa ono niepewność danych i zaleceń naukowych.
Brak danych z Federacji Rosyjskiej
Do ICES nie przekazano oficjalnych danych o połowach Federacji Rosyjskiej z lat 2022–2024. W związku z tym w ocenie stanu stada wykorzystano publicznie dostępne źródła, których wiarygodności nie można potwierdzić.
Szacuje się, że rosyjskie połowy stanowią około 31% całkowitych połowów śledzia centralnobałtyckiego. Brakuje także danych biologicznych o strukturze tych połowów (np. wiek, długości ryb), co dodatkowo obniża jakość oceny zasobów.
Federacja Rosyjska oficjalnie wystąpiła z ICES i jej członkostwo w tej organizacji oficjalnie zakończy się 9 grudnia 2025 r.
Certyfikowane połowy śledzia na Bałtyku
W 2021 r. śledzie z centralnej części Morza Bałtyckiego zostały ocenione przez Międzynarodową Radę do Badań Morza (ICES) jako odławiane zbyt intensywnie i ze „zwiększonym ryzykiem utraty pełnej zdolności do odnawiania”. W konsekwencji z dniem 15 września 2021 r. zawieszone zostały certyfikaty MSC dla wszystkich rybołówstw poławiających śledzie ze stada centralnego Bałtyku i pozostają one zawieszone do dziś (listopad 2025).
Obecnie w programie MSC są jedynie dwa bałtyckie rybołówstwa śledzia:
- Denmark, Estonia, Germany, Sweden Baltic herring and sprat – ważny certyfikat MSC obowiązuje dla śledzia z Zatoki Botnickiej (podobszar 30–31)
- NZRO Gulf of Riga herring and sprat trawl fishery – ważny certyfikat MSC obowiązuje dla śledzia z Zatoki Ryskiej (podobszar 28.1)
Śledź islandzki
Islandic summer-spawning herring, FAO 27 Va
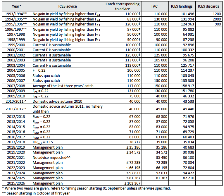
6 czerwca 2025 r. Międzynarodowa Rada do Badań Morza (ICES) ogłosiła najnowsze doradztwo dotyczące zasobów śledzia islandzkiego tarła letniego. Dane dla tego stada są wyjątkowo optymistyczne: rok rocznie rośnie kwota połowowa (praktycznie od 2019 r.). Obecnie rekomendowane przez ICES kwoty połowowe na 2025/2026 r. są o 27% wyższe niż rok wcześniej, osiągając wysokość 103 367 ton.
Islandzcy rybacy, wiedząc jak potężną gałęzią gospodarki są zrównoważone połowy, zawsze podążają za rekomendacją naukową, co można zobaczyć w tabeli powyżej.
Na tak wysokie kwoty mają wpływ wyższe szacunki dotyczące biomasy referencyjnej, co jest częściowo spowodowane niedawnymi przyrostami wyjątkowo silnych kolejnych roczników.
Śledź islandzki (Clupea harengus) jest stadem bezpośrednio kontrolowanym przez islandzkie rybołowstwo. Stado to historycznie występuje wyłącznie na wodach terytorialnych wokół Islandii, a w ostatnich latach szczególnie w okolicach fiordu Kolgrafafjordur, co doprowadziło do wyjątkowej koncentracji większości stada w jednym miejscu. W 2011 i 2016 r. tak duże zagęszczenie spowodowało wystąpienie pasożyta Ichthyophonus. Intensywne działania zaradcze doprowadziły do prawie całkowitego zniwelowania infekcji. W ostatnich latach notuje się jedynie jednostkowe przypadki. Przekłada się to na dynamiczny wzrost biomasy stada i zwiększone możliwości połowowe.
Kluczowym odbiorcą śledzia islandzkiego jest Polska, gdzie jest on skierowany na konsumpcję i wykorzystuje się go głównie do produkcji konserw rybnych. Śledzie te są tylko niewiele mniejsze od swojego norweskiego kuzyna, czyli śledzia atlantycko-skandynawskiego.
Śledź islandzki jest obecny w programie MSC nieprzerwanie od 2014 r. pod nazwą rybołówstwa: ISF Icelandic summer spawning herring trawl and seine .
Blisko 10-letnia obecność w programie MSC i zrównoważone zarządzanie zasobami sprawiły, że mimo kryzysu, jaki miał miejsce jeszcze dekadę temu, obecnie możemy obserwować zdrowe stado, co pozwala na zwiększanie kwot połowowych. Jest to doskonały przykład na realizację celów i założeń programu MSC.
Śledź atlantycko-skandynawski
FAO 27: I, II, V, IVa, XIVa
Szczególną popularnością wśród polskich przetwórców cieszą się rybołówstwa śledzia atlantycko-skandynawskiego (śledź AS, zwany również NSS: Norwegian spring-spawning), o których statusie MSC informowało na przestrzeni ostatnich 5 lat ( 2018, 2020, 2021, 2022, 2023 ).
Zawieszenie certyfikatów MSC
Certyfikaty MSC dla wszystkich rybołówstw poławiających śledzia atlantycko-skandynawskiego i błękitka zostały zawieszone 30 grudnia 2020 r. Zawieszenie dotyczyło certyfikatów obejmujących rybołówstwa z Unii Europejskiej, Norwegii, Islandii, Rosji, Wysp Owczych, Grenlandii i Wielkiej Brytanii.
Przyczyną zawieszenia połowów był brak międzynarodowego porozumienia w sprawie podziału kwot połowowych między poszczególnymi krajami. Było to warunkiem certyfikacji, który nie został spełniony w określonym czasie. Brak skutecznego zarządzania zasobami – w szczególności porozumienia o podziale kwot zgodnie z doradztwem naukowym – doprowadziło do tego, że przez lata doszło do przekraczania kwot rekomendowanych przez naukowców.
Międzynarodowa Rada Badań Morza (
ICES), odpowiedzialna za doradzanie rządom w zakresie zrównoważonych limitów połowowych, wskazała we wrześniu 2025 r., że – o ile UK, Wyspy Owcze,
Islandia, Norwegia, Rosja i Unia Europejska porozumieją się ws. kwot połowowych – to
należy ograniczyć połowy śledzia atlantycko-skandynawskiego do 533 914 ton
.
Stada ryb, które są przeławiane przez dłuższy czas, mogą ulec załamaniu i miało to już miejsce w przeszłości w przypadku śledzia atlantycko-skandynawskiego. W latach 60-tych XX wieku populacja ta uległa załamaniu, a jej odbudowa trwała aż 20 lat.
Czas decyzji czy tylko polityczne obietnice?
Niestety na przestrzeni lat politycy nie potrafili osiągnąć porozumienia ws. podziału kwot połowowych, co doprowadziło do dramatycznej sytuacji zarówno śledzia atlantycko-skandynawskiego, jak i innych gatunków ryb, takich jak makrela.
Politycy dostrzegają dziś ogromne zainteresowanie mediów oraz presję ze strony ekologicznych organizacji pozarządowych oraz branży rybnej. Czy podejmą odpowiedzialne decyzje? Czas pokaże, choć dłużej czekać nie wolno.
Śledź z Morza Północnego
FAO 27: IIIa, IV, VIId
Obecnie ważne są 4 certyfikaty MSC dla rybołówstw śledzi z Morza Północnego o łącznej kwocie połowowej ponad 170 tys. ton. Najnowsze doradztwo ICES opublikowane 23 października 2025 r. doradza całkowity połów zgodnie z zasadą MSY w wysokości 287 772 ton. Jest to wynik m.in. zrównoważonego podejścia do zarządzania rybołówstwami na tym obszarze, co ma swoje potwierdzenie w posiadaniu certyfikatów dla połowów śledzia z Morza Północnego.
Doradztwo ICES dla śledzia z Morza Północnego to bardzo dobra wiadomość dla polskich przetwórców, detalistów i konsumentów, dla których jest to w tej chwili największe źródło pozyskiwania śledzia ze zrównoważonych połowów.
Certyfikowane rybołowstwa śledzi na Morzu Północnym:
Śledź i inne małe ryby pelagiczne na Płn.-Wsch. Atlantyku
Gotuj i dbaj o morza i oceany!
Dla wszystkich miłośników przysmaków prosto z morza mamy przepisy na pyszne ryby i owoce morza ze znakiem MSC! Znak MSC oznacza, że ryby pochodzą ze zrównoważonych połowów. Gwarantuje, że ryby pochodzą tylko z legalnych i pewnych źródeł oraz są prawidłowo oznakowane.
Wybieraj ryby i owoce morza ze znakiem MSC!
Wybierając produkty z niebieskim znakiem MSC na opakowaniu wspierasz rybaków, którzy zarządzają łowiskami w sposób zrównoważony - ich połowy mają zminimalizowany wpływ na ekosystem, pozostawiają więcej ryb w morzach i oceanach oraz sprzyjają innym zwierzętom morskim.
Czym są zrównoważone połowy?
Zrównoważone połowy to takie, które w mniejszym stopniu wpływają na ekosystem morski, pozostawiają więcej ryb w morzach i oceanach oraz sprzyjają innym zwierzętom morskim.




